Воспользуйтесь поиском по сайту:

Получение вещества происходит из бобов стручков рожкового дерева - средиземноморской акации, название которой на латыни звучит как Ceratonia siliqua. Для этого бобы растения, произрастающего на побережье Средиземного моря, измельчаются на шелуху (30-35%), эндосперм (40-45%) и ростки (20-25%). Именно эндосперм в измельченном виде и представляется в качестве так называемой камеди рожкового дерева.
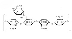
Химическое строение камеди рожкового дерева сходно с камедью гуара - стабилизатора, получаемого из семян горохового дерева, произрастающего в Пакистане и Индии, и представляет собой полимер, состоящий из молекул остатков более чем 2000 простых и сложных моносахаридов. Вещество, по сути, является желтоватым порошком без характерного запаха.
Камедь рожкового дерева отличается тем, что сохраняет свои свойства как в кислой и соленой средах, так и при нагревании. Стабилизатор обладает такими характеристиками как:
При использовании пищевой добавки в процессе охлаждения продукта происходит замедление образования ледяных кристаллов, в результате чего образуется однородный структурированный гель. Смешиваясь с ксантаном, альгинатом и другими эмульгаторами, камедь плодов рожкового дерева усиливает их желирующие свойства, благодаря чему добавка Е410 нашла широкое применение в производстве молочных продуктов, мороженого, плавленых сыров.
Читайте также:10 наиболее опасных пищевых добавок
Помимо вышеперечисленных продуктов камедь рожкового дерева используется в производстве овощных и фруктовых консервов (к примеру, консервированной моркови и соленых огурцов), консервированной скумбрии, сардин, маргарина с пониженной жирностью (до 10 г/кг), сыра, творога, ароматизированных йогуртов, сливок, бульонных кубиков, майонеза и кетчупа. Также пищевая добавка может включаться в состав теста для изготовления хлебобулочных изделий с целью сохранения их свежести, а также джемов, мармеладов, желе и других подобных продуктов.

Согласно официальным данным камедь рожкового дерева не обладает способностью расщепляться в желудочно-кишечном тракте человека (в организме человека отсутствуют необходимые ферменты), что объясняет ее вывод из организма в непереработанном виде.
На сегодняшний день вред камеди рожкового дерева не доказан, пищевая добавка Е410 считается относительно безопасной для здоровья. Однако употребление камеди плодов рожкового дерева все же может нанести ущерб лицам, страдающим индивидуальной непереносимостью стабилизаторов и иных пищевых добавок, а также людям, имеющим заболевания желудочно-кишечного тракта.
Рекомендованная норма употребления Е410 составляет не более 20 мг/кг или 0,1-1% от массы готового продукта.
Камедь рожкового дерева разрешена в качестве пищевой добавки на территории РФ и Украины.
Нашли ошибку в тексте? Выделите ее и нажмите Ctrl + Enter.
Если бы ваша печень перестала работать, смерть наступила бы в течение суток.

